近日,成都信息工程大学大气科学学院/数值预报技术研究中心风能研究团队联合中国科学院大气物理研究所和河南大学,在知名国际气候学期刊《International Journal of Climatology》发表题为《Influence of anthropogenic activities on near‐surface wind speed attenuation over the Tibetan Plateau》的研究论文,该研究系统揭示了1961–2014年间青藏高原近地表风速下降的主要驱动因素,并发现人类活动,尤其温室气体排放是导致风速减弱的主要因素。我校朱丽华副教授为第一作者,华维教授为通讯作者。
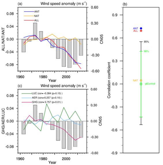
青藏高原被誉为“世界屋脊”,也是我国风能资源较为丰富的地区之一。风速的变化不仅影响风能开发潜力,还对区域水文循环、生态系统和地表过程产生深远影响。近年来,青藏高原风速持续下降的现象引起了广泛关注,但其背后的物理机制和人为因素的贡献尚不十分明确。研究团队利用中国高分辨率格点观测数据集(CN05.1)和10个CMIP6全球气候模式数据,采用基于相关性的检测归因方法和多元线性回归模型,定量评估了不同外部强迫对青藏高原风速变化的贡献。研究发现,1961–2014年期间,青藏高原年均近地表风速以每十年−0.116m/s的速度显著下降,且这一趋势在全区范围内高度一致。归因分析表明,人为强迫(ANT)对观测到的风速下降贡献了−0.605m/s,几乎解释了全部下降幅度(−0.628m/s),而自然强迫(NAT)的影响几乎可忽略。在人为强迫中,温室气体(GHG)是导致风速下降的最主要因素(贡献−0.628m/s),而气溶胶(AER)和土地利用变化(LUC)的贡献较小,甚至在一定程度上抵消了部分下降趋势。进一步开展的机制分析表明,温室气体排放导致青藏高原北部中高纬度地区增温幅度大于南部,进而引起500 hPa位势高度场的南北梯度减弱,削弱了驱动地表风的气压梯度力,最终导致风速下降。研究同时指出,当前CMIP6模式虽能定性再现风速下降趋势,但普遍低估其幅度,反映出复杂地形区气候模拟仍存在挑战。未来需结合高分辨率动力降尺度等手段,进一步提升区域气候预测的可靠性。该研究深化了对青藏高原气候变化机制的理解,也为我国风能资源评估提供了科学依据。
该研究由成都信息工程大学、中国科学院大气物理研究所以及河南大学共同完成。研究得到国家自然科学基金、四川省科技计划和第二次青藏高原综合科学考察研究项目的联合资助。

图1 1961~1990年青藏高原基准期地表风速(SWS)观测结果(CN05)以及在(a)所有强迫(ALL)、自然强迫(NAT)和人为强迫(ANT)以及(c)温室气体强迫(GHG)、人为气溶胶强迫(AER)和土地利用变化(LUC)强迫下的 CMIP6 模型模拟结果;(b)青藏高原的地表风速观测结果与模式结果之间的相关系数
论文信息:
Zhu LH, Hua W*, Huang G, et al. Influence of anthropogenic activities on near‐surface wind speed attenuation over the Tibetan Plateau[J]. International Journal of Climatology, 2026. Doi:10.1002/joc.70284.